파일 목록
이 특수 문서는 모든 올려진 파일을 보여줍니다.
처음 문서 |
이전 문서 |
다음 문서 |
마지막 문서 |
| 날짜 | 이름 | 섬네일 | 크기 | 사용자 | 설명 | 버전 |
|---|---|---|---|---|---|---|
| 2025년 12월 23일 (화) 00:29 | 지구못특허 1.png (파일) | 섬네일을 만드는 중 오류 발생: convert: Image width exceeds user limit in IHDR `/var/www/capstone/env/images/8/8d/지구못특허_1.png' @ warning/png.c/MagickPNGWarningHandler/1672. convert: Image height exceeds user limit in IHDR `/var/www/capstone/env/images/8/8d/지구못특허_1.png' @ warning/png.c/MagickPNGWarningHandler/1672. convert: Invalid IHDR data `/var/www/capstone/env/images/8/8d/지구못특허_1.png' @ error/png.c/MagickPNGErrorHandler/1646. convert: corrupt image `/var/www/capstone/env/images/8/8d/지구못특허_1.png' @ error/png.c/ReadPNGImage/4095. convert: no images defined `/tmp/transform_7b8cc43d2c54.png' @ error/convert.c/ConvertImageCommand/3210. Error code: 1 |
347 KB | 25env03 | 특허 1 | 1 |
| 2025년 12월 23일 (화) 00:25 | 개발일정.png (파일) | 섬네일을 만드는 중 오류 발생: convert: Image width exceeds user limit in IHDR `/var/www/capstone/env/images/f/f5/개발일정.png' @ warning/png.c/MagickPNGWarningHandler/1672. convert: Image height exceeds user limit in IHDR `/var/www/capstone/env/images/f/f5/개발일정.png' @ warning/png.c/MagickPNGWarningHandler/1672. convert: Invalid IHDR data `/var/www/capstone/env/images/f/f5/개발일정.png' @ error/png.c/MagickPNGErrorHandler/1646. convert: corrupt image `/var/www/capstone/env/images/f/f5/개발일정.png' @ error/png.c/ReadPNGImage/4095. convert: no images defined `/tmp/transform_7cc4d3dc1247.png' @ error/convert.c/ConvertImageCommand/3210. Error code: 1 |
27 KB | 25env03 | 2025년 12월 17일 (수) 19:58 (PST) 판으로 되돌림 | 5 |
| 2025년 12월 22일 (월) 23:40 | 팜그린웨이 시연품.png (파일) | 섬네일을 만드는 중 오류 발생: convert: Image width exceeds user limit in IHDR `/var/www/capstone/env/images/6/6c/팜그린웨이_시연품.png' @ warning/png.c/MagickPNGWarningHandler/1672. convert: Image height exceeds user limit in IHDR `/var/www/capstone/env/images/6/6c/팜그린웨이_시연품.png' @ warning/png.c/MagickPNGWarningHandler/1672. convert: Invalid IHDR data `/var/www/capstone/env/images/6/6c/팜그린웨이_시연품.png' @ error/png.c/MagickPNGErrorHandler/1646. convert: corrupt image `/var/www/capstone/env/images/6/6c/팜그린웨이_시연품.png' @ error/png.c/ReadPNGImage/4095. convert: no images defined `/tmp/transform_5a3ad968fb06.png' @ error/convert.c/ConvertImageCommand/3210. Error code: 1 |
271 KB | 25env07 | 2 | |
| 2025년 12월 22일 (월) 22:52 | 팜그린웨이시연품2.png (파일) | 섬네일을 만드는 중 오류 발생: convert: Image width exceeds user limit in IHDR `/var/www/capstone/env/images/2/2c/팜그린웨이시연품2.png' @ warning/png.c/MagickPNGWarningHandler/1672. convert: Image height exceeds user limit in IHDR `/var/www/capstone/env/images/2/2c/팜그린웨이시연품2.png' @ warning/png.c/MagickPNGWarningHandler/1672. convert: Invalid IHDR data `/var/www/capstone/env/images/2/2c/팜그린웨이시연품2.png' @ error/png.c/MagickPNGErrorHandler/1646. convert: corrupt image `/var/www/capstone/env/images/2/2c/팜그린웨이시연품2.png' @ error/png.c/ReadPNGImage/4095. convert: no images defined `/tmp/transform_80d92e95454d.png' @ error/convert.c/ConvertImageCommand/3210. Error code: 1 |
72 KB | 25env07 | 1 | |
| 2025년 12월 22일 (월) 22:51 | 팜그린웨이시연품1.png (파일) | 섬네일을 만드는 중 오류 발생: convert: Image width exceeds user limit in IHDR `/var/www/capstone/env/images/d/dc/팜그린웨이시연품1.png' @ warning/png.c/MagickPNGWarningHandler/1672. convert: Image height exceeds user limit in IHDR `/var/www/capstone/env/images/d/dc/팜그린웨이시연품1.png' @ warning/png.c/MagickPNGWarningHandler/1672. convert: Invalid IHDR data `/var/www/capstone/env/images/d/dc/팜그린웨이시연품1.png' @ error/png.c/MagickPNGErrorHandler/1646. convert: corrupt image `/var/www/capstone/env/images/d/dc/팜그린웨이시연품1.png' @ error/png.c/ReadPNGImage/4095. convert: no images defined `/tmp/transform_30cbe31b02a5.png' @ error/convert.c/ConvertImageCommand/3210. Error code: 1 |
99 KB | 25env07 | 1 | |
| 2025년 12월 22일 (월) 22:49 | 팜그린웨이포스터.png (파일) | 섬네일을 만드는 중 오류 발생: convert: Image width exceeds user limit in IHDR `/var/www/capstone/env/images/e/e0/팜그린웨이포스터.png' @ warning/png.c/MagickPNGWarningHandler/1672. convert: Image height exceeds user limit in IHDR `/var/www/capstone/env/images/e/e0/팜그린웨이포스터.png' @ warning/png.c/MagickPNGWarningHandler/1672. convert: Invalid IHDR data `/var/www/capstone/env/images/e/e0/팜그린웨이포스터.png' @ error/png.c/MagickPNGErrorHandler/1646. convert: corrupt image `/var/www/capstone/env/images/e/e0/팜그린웨이포스터.png' @ error/png.c/ReadPNGImage/4095. convert: no images defined `/tmp/transform_089b34bac6f0.png' @ error/convert.c/ConvertImageCommand/3210. Error code: 1 |
409 KB | 25env07 | 1 | |
| 2025년 12월 22일 (월) 22:45 | 팜그린웨이포스터.pdf (파일) | 6.99 MB | 25env07 | 1 | ||
| 2025년 12월 22일 (월) 22:30 | 팜그린웨이swot.png (파일) | 섬네일을 만드는 중 오류 발생: convert: Image width exceeds user limit in IHDR `/var/www/capstone/env/images/e/ef/팜그린웨이swot.png' @ warning/png.c/MagickPNGWarningHandler/1672. convert: Image height exceeds user limit in IHDR `/var/www/capstone/env/images/e/ef/팜그린웨이swot.png' @ warning/png.c/MagickPNGWarningHandler/1672. convert: Invalid IHDR data `/var/www/capstone/env/images/e/ef/팜그린웨이swot.png' @ error/png.c/MagickPNGErrorHandler/1646. convert: corrupt image `/var/www/capstone/env/images/e/ef/팜그린웨이swot.png' @ error/png.c/ReadPNGImage/4095. convert: no images defined `/tmp/transform_4cd64ab16358.png' @ error/convert.c/ConvertImageCommand/3210. Error code: 1 |
236 KB | 25env07 | 1 | |
| 2025년 12월 22일 (월) 22:27 | 물길흘러조 기술로드맵.jpeg (파일) | 100 KB | 25env05 | 1 | ||
| 2025년 12월 22일 (월) 19:51 | 노슬립 사진29.png (파일) | 섬네일을 만드는 중 오류 발생: convert: Image width exceeds user limit in IHDR `/var/www/capstone/env/images/1/15/노슬립_사진29.png' @ warning/png.c/MagickPNGWarningHandler/1672. convert: Image height exceeds user limit in IHDR `/var/www/capstone/env/images/1/15/노슬립_사진29.png' @ warning/png.c/MagickPNGWarningHandler/1672. convert: Invalid IHDR data `/var/www/capstone/env/images/1/15/노슬립_사진29.png' @ error/png.c/MagickPNGErrorHandler/1646. convert: corrupt image `/var/www/capstone/env/images/1/15/노슬립_사진29.png' @ error/png.c/ReadPNGImage/4095. convert: no images defined `/tmp/transform_22c603178b77.png' @ error/convert.c/ConvertImageCommand/3210. Error code: 1 |
12 KB | 25env10 | 2 | |
| 2025년 12월 22일 (월) 18:39 | Co2 module (4).png (파일) | 섬네일을 만드는 중 오류 발생: convert: Image width exceeds user limit in IHDR `/var/www/capstone/env/images/3/37/Co2_module_(4).png' @ warning/png.c/MagickPNGWarningHandler/1672. convert: Image height exceeds user limit in IHDR `/var/www/capstone/env/images/3/37/Co2_module_(4).png' @ warning/png.c/MagickPNGWarningHandler/1672. convert: Invalid IHDR data `/var/www/capstone/env/images/3/37/Co2_module_(4).png' @ error/png.c/MagickPNGErrorHandler/1646. convert: corrupt image `/var/www/capstone/env/images/3/37/Co2_module_(4).png' @ error/png.c/ReadPNGImage/4095. convert: no images defined `/tmp/transform_9b180b065739.png' @ error/convert.c/ConvertImageCommand/3210. Error code: 1 |
192 KB | 25env10 | 2 | |
| 2025년 12월 22일 (월) 18:12 | 노슬립 사진27.png (파일) | 섬네일을 만드는 중 오류 발생: convert: Image width exceeds user limit in IHDR `/var/www/capstone/env/images/9/98/노슬립_사진27.png' @ warning/png.c/MagickPNGWarningHandler/1672. convert: Image height exceeds user limit in IHDR `/var/www/capstone/env/images/9/98/노슬립_사진27.png' @ warning/png.c/MagickPNGWarningHandler/1672. convert: Invalid IHDR data `/var/www/capstone/env/images/9/98/노슬립_사진27.png' @ error/png.c/MagickPNGErrorHandler/1646. convert: corrupt image `/var/www/capstone/env/images/9/98/노슬립_사진27.png' @ error/png.c/ReadPNGImage/4095. convert: no images defined `/tmp/transform_418d8e8bd3c7.png' @ error/convert.c/ConvertImageCommand/3210. Error code: 1 |
81 KB | 25env10 | 1 | |
| 2025년 12월 22일 (월) 18:12 | 노슬립 사진26.png (파일) | 섬네일을 만드는 중 오류 발생: convert: Image width exceeds user limit in IHDR `/var/www/capstone/env/images/1/18/노슬립_사진26.png' @ warning/png.c/MagickPNGWarningHandler/1672. convert: Image height exceeds user limit in IHDR `/var/www/capstone/env/images/1/18/노슬립_사진26.png' @ warning/png.c/MagickPNGWarningHandler/1672. convert: Invalid IHDR data `/var/www/capstone/env/images/1/18/노슬립_사진26.png' @ error/png.c/MagickPNGErrorHandler/1646. convert: corrupt image `/var/www/capstone/env/images/1/18/노슬립_사진26.png' @ error/png.c/ReadPNGImage/4095. convert: no images defined `/tmp/transform_c06f77fe52c7.png' @ error/convert.c/ConvertImageCommand/3210. Error code: 1 |
125 KB | 25env10 | 1 | |
| 2025년 12월 22일 (월) 18:05 | 노슬립 사진25.png (파일) | 섬네일을 만드는 중 오류 발생: convert: Image width exceeds user limit in IHDR `/var/www/capstone/env/images/e/ec/노슬립_사진25.png' @ warning/png.c/MagickPNGWarningHandler/1672. convert: Image height exceeds user limit in IHDR `/var/www/capstone/env/images/e/ec/노슬립_사진25.png' @ warning/png.c/MagickPNGWarningHandler/1672. convert: Invalid IHDR data `/var/www/capstone/env/images/e/ec/노슬립_사진25.png' @ error/png.c/MagickPNGErrorHandler/1646. convert: corrupt image `/var/www/capstone/env/images/e/ec/노슬립_사진25.png' @ error/png.c/ReadPNGImage/4095. convert: no images defined `/tmp/transform_0a0cc76e4116.png' @ error/convert.c/ConvertImageCommand/3210. Error code: 1 |
84 KB | 25env10 | 1 | |
| 2025년 12월 22일 (월) 18:04 | 노슬립 사진23.png (파일) | 섬네일을 만드는 중 오류 발생: convert: Image width exceeds user limit in IHDR `/var/www/capstone/env/images/e/ee/노슬립_사진23.png' @ warning/png.c/MagickPNGWarningHandler/1672. convert: Image height exceeds user limit in IHDR `/var/www/capstone/env/images/e/ee/노슬립_사진23.png' @ warning/png.c/MagickPNGWarningHandler/1672. convert: Invalid IHDR data `/var/www/capstone/env/images/e/ee/노슬립_사진23.png' @ error/png.c/MagickPNGErrorHandler/1646. convert: corrupt image `/var/www/capstone/env/images/e/ee/노슬립_사진23.png' @ error/png.c/ReadPNGImage/4095. convert: no images defined `/tmp/transform_da98ac13e60b.png' @ error/convert.c/ConvertImageCommand/3210. Error code: 1 |
49 KB | 25env10 | 1 | |
| 2025년 12월 22일 (월) 18:00 | 노슬립 사진22.png (파일) | 섬네일을 만드는 중 오류 발생: convert: Image width exceeds user limit in IHDR `/var/www/capstone/env/images/a/aa/노슬립_사진22.png' @ warning/png.c/MagickPNGWarningHandler/1672. convert: Image height exceeds user limit in IHDR `/var/www/capstone/env/images/a/aa/노슬립_사진22.png' @ warning/png.c/MagickPNGWarningHandler/1672. convert: Invalid IHDR data `/var/www/capstone/env/images/a/aa/노슬립_사진22.png' @ error/png.c/MagickPNGErrorHandler/1646. convert: corrupt image `/var/www/capstone/env/images/a/aa/노슬립_사진22.png' @ error/png.c/ReadPNGImage/4095. convert: no images defined `/tmp/transform_40a83bf9d068.png' @ error/convert.c/ConvertImageCommand/3210. Error code: 1 |
375 KB | 25env10 | 1 | |
| 2025년 12월 22일 (월) 17:52 | 노슬립 사진21.png (파일) | 섬네일을 만드는 중 오류 발생: convert: Image width exceeds user limit in IHDR `/var/www/capstone/env/images/8/81/노슬립_사진21.png' @ warning/png.c/MagickPNGWarningHandler/1672. convert: Image height exceeds user limit in IHDR `/var/www/capstone/env/images/8/81/노슬립_사진21.png' @ warning/png.c/MagickPNGWarningHandler/1672. convert: Invalid IHDR data `/var/www/capstone/env/images/8/81/노슬립_사진21.png' @ error/png.c/MagickPNGErrorHandler/1646. convert: corrupt image `/var/www/capstone/env/images/8/81/노슬립_사진21.png' @ error/png.c/ReadPNGImage/4095. convert: no images defined `/tmp/transform_1cfed7ca3359.png' @ error/convert.c/ConvertImageCommand/3210. Error code: 1 |
180 KB | 25env10 | 1 | |
| 2025년 12월 22일 (월) 17:52 | 노슬립 사진20.png (파일) | 섬네일을 만드는 중 오류 발생: convert: Image width exceeds user limit in IHDR `/var/www/capstone/env/images/8/81/노슬립_사진20.png' @ warning/png.c/MagickPNGWarningHandler/1672. convert: Image height exceeds user limit in IHDR `/var/www/capstone/env/images/8/81/노슬립_사진20.png' @ warning/png.c/MagickPNGWarningHandler/1672. convert: Invalid IHDR data `/var/www/capstone/env/images/8/81/노슬립_사진20.png' @ error/png.c/MagickPNGErrorHandler/1646. convert: corrupt image `/var/www/capstone/env/images/8/81/노슬립_사진20.png' @ error/png.c/ReadPNGImage/4095. convert: no images defined `/tmp/transform_45a7b3ba79de.png' @ error/convert.c/ConvertImageCommand/3210. Error code: 1 |
182 KB | 25env10 | 1 | |
| 2025년 12월 22일 (월) 17:52 | 노슬립 사진19.png (파일) | 섬네일을 만드는 중 오류 발생: convert: Image width exceeds user limit in IHDR `/var/www/capstone/env/images/8/87/노슬립_사진19.png' @ warning/png.c/MagickPNGWarningHandler/1672. convert: Image height exceeds user limit in IHDR `/var/www/capstone/env/images/8/87/노슬립_사진19.png' @ warning/png.c/MagickPNGWarningHandler/1672. convert: Invalid IHDR data `/var/www/capstone/env/images/8/87/노슬립_사진19.png' @ error/png.c/MagickPNGErrorHandler/1646. convert: corrupt image `/var/www/capstone/env/images/8/87/노슬립_사진19.png' @ error/png.c/ReadPNGImage/4095. convert: no images defined `/tmp/transform_5afefefd9433.png' @ error/convert.c/ConvertImageCommand/3210. Error code: 1 |
278 KB | 25env10 | 1 | |
| 2025년 12월 22일 (월) 17:51 | 노슬립 사진18.png (파일) | 섬네일을 만드는 중 오류 발생: convert: Image width exceeds user limit in IHDR `/var/www/capstone/env/images/2/2e/노슬립_사진18.png' @ warning/png.c/MagickPNGWarningHandler/1672. convert: Image height exceeds user limit in IHDR `/var/www/capstone/env/images/2/2e/노슬립_사진18.png' @ warning/png.c/MagickPNGWarningHandler/1672. convert: Invalid IHDR data `/var/www/capstone/env/images/2/2e/노슬립_사진18.png' @ error/png.c/MagickPNGErrorHandler/1646. convert: corrupt image `/var/www/capstone/env/images/2/2e/노슬립_사진18.png' @ error/png.c/ReadPNGImage/4095. convert: no images defined `/tmp/transform_0e9bc922db0c.png' @ error/convert.c/ConvertImageCommand/3210. Error code: 1 |
242 KB | 25env10 | 1 | |
| 2025년 12월 22일 (월) 17:51 | 노슬립 사진17.png (파일) | 섬네일을 만드는 중 오류 발생: convert: Image width exceeds user limit in IHDR `/var/www/capstone/env/images/1/1f/노슬립_사진17.png' @ warning/png.c/MagickPNGWarningHandler/1672. convert: Image height exceeds user limit in IHDR `/var/www/capstone/env/images/1/1f/노슬립_사진17.png' @ warning/png.c/MagickPNGWarningHandler/1672. convert: Invalid IHDR data `/var/www/capstone/env/images/1/1f/노슬립_사진17.png' @ error/png.c/MagickPNGErrorHandler/1646. convert: corrupt image `/var/www/capstone/env/images/1/1f/노슬립_사진17.png' @ error/png.c/ReadPNGImage/4095. convert: no images defined `/tmp/transform_0b249c2d09ba.png' @ error/convert.c/ConvertImageCommand/3210. Error code: 1 |
456 KB | 25env10 | 1 | |
| 2025년 12월 22일 (월) 17:47 | 노슬립 사진9.png (파일) | 섬네일을 만드는 중 오류 발생: convert: Image width exceeds user limit in IHDR `/var/www/capstone/env/images/5/5f/노슬립_사진9.png' @ warning/png.c/MagickPNGWarningHandler/1672. convert: Image height exceeds user limit in IHDR `/var/www/capstone/env/images/5/5f/노슬립_사진9.png' @ warning/png.c/MagickPNGWarningHandler/1672. convert: Invalid IHDR data `/var/www/capstone/env/images/5/5f/노슬립_사진9.png' @ error/png.c/MagickPNGErrorHandler/1646. convert: corrupt image `/var/www/capstone/env/images/5/5f/노슬립_사진9.png' @ error/png.c/ReadPNGImage/4095. convert: no images defined `/tmp/transform_eaa0e5c4134d.png' @ error/convert.c/ConvertImageCommand/3210. Error code: 1 |
526 KB | 25env10 | 1 | |
| 2025년 12월 22일 (월) 17:46 | 노슬립 사진8.png (파일) | 섬네일을 만드는 중 오류 발생: convert: Image width exceeds user limit in IHDR `/var/www/capstone/env/images/f/fe/노슬립_사진8.png' @ warning/png.c/MagickPNGWarningHandler/1672. convert: Image height exceeds user limit in IHDR `/var/www/capstone/env/images/f/fe/노슬립_사진8.png' @ warning/png.c/MagickPNGWarningHandler/1672. convert: Invalid IHDR data `/var/www/capstone/env/images/f/fe/노슬립_사진8.png' @ error/png.c/MagickPNGErrorHandler/1646. convert: corrupt image `/var/www/capstone/env/images/f/fe/노슬립_사진8.png' @ error/png.c/ReadPNGImage/4095. convert: no images defined `/tmp/transform_5445501eae61.png' @ error/convert.c/ConvertImageCommand/3210. Error code: 1 |
567 KB | 25env10 | 1 | |
| 2025년 12월 22일 (월) 17:46 | 노슬립 사진7.png (파일) | 섬네일을 만드는 중 오류 발생: convert: Image width exceeds user limit in IHDR `/var/www/capstone/env/images/f/f3/노슬립_사진7.png' @ warning/png.c/MagickPNGWarningHandler/1672. convert: Image height exceeds user limit in IHDR `/var/www/capstone/env/images/f/f3/노슬립_사진7.png' @ warning/png.c/MagickPNGWarningHandler/1672. convert: Invalid IHDR data `/var/www/capstone/env/images/f/f3/노슬립_사진7.png' @ error/png.c/MagickPNGErrorHandler/1646. convert: corrupt image `/var/www/capstone/env/images/f/f3/노슬립_사진7.png' @ error/png.c/ReadPNGImage/4095. convert: no images defined `/tmp/transform_687215d3d421.png' @ error/convert.c/ConvertImageCommand/3210. Error code: 1 |
543 KB | 25env10 | 1 | |
| 2025년 12월 22일 (월) 09:48 | 숨통결과.jpg (파일) | 93 KB | 25env02 | 1 | ||
| 2025년 12월 22일 (월) 09:43 | 작품평가.jpg (파일) | 103 KB | 25env02 | 2019년 12월 19일 (목) 00:00 (PST) 판으로 되돌림 | 3 | |
| 2025년 12월 22일 (월) 09:32 | 팬오프.jpg (파일) | 54 KB | 25env02 | 1 | ||
| 2025년 12월 22일 (월) 09:32 | 팬온.jpg (파일) | 52 KB | 25env02 | 1 | ||
| 2025년 12월 22일 (월) 09:23 | 완료작품평가.jpg (파일) | 섬네일을 만드는 중 오류 발생: convert: ../../magick/semaphore.c:346: LockSemaphoreInfo: assertion `semaphore_info != (SemaphoreInfo *) NULL' 실패. /usr/bin/timeout: the monitored command dumped core /var/www/capstone/env/includes/limit.sh: line 101: 27776 중지됨 /usr/bin/timeout $MW_WALL_CLOCK_LIMIT /bin/bash -c "$1" 3>&- Error code: 134 |
265 KB | 25env02 | . | 2 |
| 2025년 12월 22일 (월) 09:09 | 숨통트여조 작품 평가.jpg (파일) | 섬네일을 만드는 중 오류 발생: convert: ../../magick/semaphore.c:346: LockSemaphoreInfo: assertion `semaphore_info != (SemaphoreInfo *) NULL' 실패. /usr/bin/timeout: the monitored command dumped core /var/www/capstone/env/includes/limit.sh: line 101: 27817 중지됨 /usr/bin/timeout $MW_WALL_CLOCK_LIMIT /bin/bash -c "$1" 3>&- Error code: 134 |
265 KB | 25env02 | 1 | |
| 2025년 12월 22일 (월) 09:05 | 숨통트여조 개발사업비 내역서.jpg (파일) | 섬네일을 만드는 중 오류 발생: convert: ../../magick/semaphore.c:346: LockSemaphoreInfo: assertion `semaphore_info != (SemaphoreInfo *) NULL' 실패. /usr/bin/timeout: the monitored command dumped core /var/www/capstone/env/includes/limit.sh: line 101: 27870 중지됨 /usr/bin/timeout $MW_WALL_CLOCK_LIMIT /bin/bash -c "$1" 3>&- Error code: 134 |
295 KB | 25env02 | 1 | |
| 2025년 12월 22일 (월) 09:03 | 숨통트여조 포스터.png (파일) | 섬네일을 만드는 중 오류 발생: convert: Image width exceeds user limit in IHDR `/var/www/capstone/env/images/7/78/숨통트여조_포스터.png' @ warning/png.c/MagickPNGWarningHandler/1672. convert: Image height exceeds user limit in IHDR `/var/www/capstone/env/images/7/78/숨통트여조_포스터.png' @ warning/png.c/MagickPNGWarningHandler/1672. convert: Invalid IHDR data `/var/www/capstone/env/images/7/78/숨통트여조_포스터.png' @ error/png.c/MagickPNGErrorHandler/1646. convert: corrupt image `/var/www/capstone/env/images/7/78/숨통트여조_포스터.png' @ error/png.c/ReadPNGImage/4095. convert: no images defined `/tmp/transform_157cad85d031.png' @ error/convert.c/ConvertImageCommand/3210. Error code: 1 |
893 KB | 25env02 | 1 | |
| 2025년 12월 22일 (월) 08:48 | 시제품 모형.jpg (파일) | 342 KB | 25env02 | 위 모형은 지하주차장의 주차구획 한 칸을 모사한 것이며, 표지된 MQ-7(CO), HC-SR04(초음파), AM1002(PM-10, VOC) 센서들로 통합 회로를 구축하였다. 또한, 차량 혹은 농도 감지기준 중 한 가지 이상 충... | 1 | |
| 2025년 12월 22일 (월) 06:50 | 방울이득완료평가.png (파일) | 섬네일을 만드는 중 오류 발생: convert: Image width exceeds user limit in IHDR `/var/www/capstone/env/images/a/ad/방울이득완료평가.png' @ warning/png.c/MagickPNGWarningHandler/1672. convert: Image height exceeds user limit in IHDR `/var/www/capstone/env/images/a/ad/방울이득완료평가.png' @ warning/png.c/MagickPNGWarningHandler/1672. convert: Invalid IHDR data `/var/www/capstone/env/images/a/ad/방울이득완료평가.png' @ error/png.c/MagickPNGErrorHandler/1646. convert: corrupt image `/var/www/capstone/env/images/a/ad/방울이득완료평가.png' @ error/png.c/ReadPNGImage/4095. convert: no images defined `/tmp/transform_bc2dddca7c1b.png' @ error/convert.c/ConvertImageCommand/3210. Error code: 1 |
93 KB | 25env01 | 1 | |
| 2025년 12월 22일 (월) 06:50 | 방울이득개발사업비.png (파일) | 섬네일을 만드는 중 오류 발생: convert: Image width exceeds user limit in IHDR `/var/www/capstone/env/images/a/a6/방울이득개발사업비.png' @ warning/png.c/MagickPNGWarningHandler/1672. convert: Image height exceeds user limit in IHDR `/var/www/capstone/env/images/a/a6/방울이득개발사업비.png' @ warning/png.c/MagickPNGWarningHandler/1672. convert: Invalid IHDR data `/var/www/capstone/env/images/a/a6/방울이득개발사업비.png' @ error/png.c/MagickPNGErrorHandler/1646. convert: corrupt image `/var/www/capstone/env/images/a/a6/방울이득개발사업비.png' @ error/png.c/ReadPNGImage/4095. convert: no images defined `/tmp/transform_2bb2e64b6d76.png' @ error/convert.c/ConvertImageCommand/3210. Error code: 1 |
103 KB | 25env01 | 1 | |
| 2025년 12월 22일 (월) 06:41 | 방울이득코드2.png (파일) | 섬네일을 만드는 중 오류 발생: convert: Image width exceeds user limit in IHDR `/var/www/capstone/env/images/c/c8/방울이득코드2.png' @ warning/png.c/MagickPNGWarningHandler/1672. convert: Image height exceeds user limit in IHDR `/var/www/capstone/env/images/c/c8/방울이득코드2.png' @ warning/png.c/MagickPNGWarningHandler/1672. convert: Invalid IHDR data `/var/www/capstone/env/images/c/c8/방울이득코드2.png' @ error/png.c/MagickPNGErrorHandler/1646. convert: corrupt image `/var/www/capstone/env/images/c/c8/방울이득코드2.png' @ error/png.c/ReadPNGImage/4095. convert: no images defined `/tmp/transform_4b65069ebc14.png' @ error/convert.c/ConvertImageCommand/3210. Error code: 1 |
56 KB | 25env01 | 1 | |
| 2025년 12월 22일 (월) 06:41 | 방울이득코드1.png (파일) | 섬네일을 만드는 중 오류 발생: convert: Image width exceeds user limit in IHDR `/var/www/capstone/env/images/8/8a/방울이득코드1.png' @ warning/png.c/MagickPNGWarningHandler/1672. convert: Image height exceeds user limit in IHDR `/var/www/capstone/env/images/8/8a/방울이득코드1.png' @ warning/png.c/MagickPNGWarningHandler/1672. convert: Invalid IHDR data `/var/www/capstone/env/images/8/8a/방울이득코드1.png' @ error/png.c/MagickPNGErrorHandler/1646. convert: corrupt image `/var/www/capstone/env/images/8/8a/방울이득코드1.png' @ error/png.c/ReadPNGImage/4095. convert: no images defined `/tmp/transform_3b6a28c0badb.png' @ error/convert.c/ConvertImageCommand/3210. Error code: 1 |
64 KB | 25env01 | 1 | |
| 2025년 12월 22일 (월) 06:40 | 방울이득알고리즘.png (파일) | 섬네일을 만드는 중 오류 발생: convert: Image width exceeds user limit in IHDR `/var/www/capstone/env/images/9/92/방울이득알고리즘.png' @ warning/png.c/MagickPNGWarningHandler/1672. convert: Image height exceeds user limit in IHDR `/var/www/capstone/env/images/9/92/방울이득알고리즘.png' @ warning/png.c/MagickPNGWarningHandler/1672. convert: Invalid IHDR data `/var/www/capstone/env/images/9/92/방울이득알고리즘.png' @ error/png.c/MagickPNGErrorHandler/1646. convert: corrupt image `/var/www/capstone/env/images/9/92/방울이득알고리즘.png' @ error/png.c/ReadPNGImage/4095. convert: no images defined `/tmp/transform_fb5acea7141b.png' @ error/convert.c/ConvertImageCommand/3210. Error code: 1 |
47 KB | 25env01 | 1 | |
| 2025년 12월 22일 (월) 06:40 | 방울이득아두이노.png (파일) | 섬네일을 만드는 중 오류 발생: convert: Image width exceeds user limit in IHDR `/var/www/capstone/env/images/3/30/방울이득아두이노.png' @ warning/png.c/MagickPNGWarningHandler/1672. convert: Image height exceeds user limit in IHDR `/var/www/capstone/env/images/3/30/방울이득아두이노.png' @ warning/png.c/MagickPNGWarningHandler/1672. convert: Invalid IHDR data `/var/www/capstone/env/images/3/30/방울이득아두이노.png' @ error/png.c/MagickPNGErrorHandler/1646. convert: corrupt image `/var/www/capstone/env/images/3/30/방울이득아두이노.png' @ error/png.c/ReadPNGImage/4095. convert: no images defined `/tmp/transform_976911f44178.png' @ error/convert.c/ConvertImageCommand/3210. Error code: 1 |
286 KB | 25env01 | 1 | |
| 2025년 12월 22일 (월) 06:40 | 방울이득배치도.png (파일) | 섬네일을 만드는 중 오류 발생: convert: Image width exceeds user limit in IHDR `/var/www/capstone/env/images/5/5f/방울이득배치도.png' @ warning/png.c/MagickPNGWarningHandler/1672. convert: Image height exceeds user limit in IHDR `/var/www/capstone/env/images/5/5f/방울이득배치도.png' @ warning/png.c/MagickPNGWarningHandler/1672. convert: Invalid IHDR data `/var/www/capstone/env/images/5/5f/방울이득배치도.png' @ error/png.c/MagickPNGErrorHandler/1646. convert: corrupt image `/var/www/capstone/env/images/5/5f/방울이득배치도.png' @ error/png.c/ReadPNGImage/4095. convert: no images defined `/tmp/transform_998866359e24.png' @ error/convert.c/ConvertImageCommand/3210. Error code: 1 |
354 KB | 25env01 | 1 | |
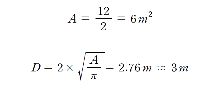
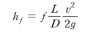
| 2025년 12월 22일 (월) 05:56 | 방울이득식6.png (파일) | 섬네일을 만드는 중 오류 발생: convert: Image width exceeds user limit in IHDR `/var/www/capstone/env/images/d/d6/방울이득식6.png' @ warning/png.c/MagickPNGWarningHandler/1672. convert: Image height exceeds user limit in IHDR `/var/www/capstone/env/images/d/d6/방울이득식6.png' @ warning/png.c/MagickPNGWarningHandler/1672. convert: Invalid IHDR data `/var/www/capstone/env/images/d/d6/방울이득식6.png' @ error/png.c/MagickPNGErrorHandler/1646. convert: corrupt image `/var/www/capstone/env/images/d/d6/방울이득식6.png' @ error/png.c/ReadPNGImage/4095. convert: no images defined `/tmp/transform_151ed087cb98.png' @ error/convert.c/ConvertImageCommand/3210. Error code: 1 |
186 KB | 25env01 | 1 | |
| 2025년 12월 22일 (월) 05:50 | 방울이득식5.png (파일) | 섬네일을 만드는 중 오류 발생: convert: Image width exceeds user limit in IHDR `/var/www/capstone/env/images/d/d9/방울이득식5.png' @ warning/png.c/MagickPNGWarningHandler/1672. convert: Image height exceeds user limit in IHDR `/var/www/capstone/env/images/d/d9/방울이득식5.png' @ warning/png.c/MagickPNGWarningHandler/1672. convert: Invalid IHDR data `/var/www/capstone/env/images/d/d9/방울이득식5.png' @ error/png.c/MagickPNGErrorHandler/1646. convert: corrupt image `/var/www/capstone/env/images/d/d9/방울이득식5.png' @ error/png.c/ReadPNGImage/4095. convert: no images defined `/tmp/transform_1e0b1f5ab84f.png' @ error/convert.c/ConvertImageCommand/3210. Error code: 1 |
4 KB | 25env01 | 1 | |
| 2025년 12월 22일 (월) 05:49 | 방울이득식4.png (파일) | 섬네일을 만드는 중 오류 발생: convert: Image width exceeds user limit in IHDR `/var/www/capstone/env/images/6/61/방울이득식4.png' @ warning/png.c/MagickPNGWarningHandler/1672. convert: Image height exceeds user limit in IHDR `/var/www/capstone/env/images/6/61/방울이득식4.png' @ warning/png.c/MagickPNGWarningHandler/1672. convert: Invalid IHDR data `/var/www/capstone/env/images/6/61/방울이득식4.png' @ error/png.c/MagickPNGErrorHandler/1646. convert: corrupt image `/var/www/capstone/env/images/6/61/방울이득식4.png' @ error/png.c/ReadPNGImage/4095. convert: no images defined `/tmp/transform_4920652bd31c.png' @ error/convert.c/ConvertImageCommand/3210. Error code: 1 |
8 KB | 25env01 | 1 | |
| 2025년 12월 22일 (월) 05:49 | 방울이득식3.png (파일) | 섬네일을 만드는 중 오류 발생: convert: Image width exceeds user limit in IHDR `/var/www/capstone/env/images/5/5c/방울이득식3.png' @ warning/png.c/MagickPNGWarningHandler/1672. convert: Image height exceeds user limit in IHDR `/var/www/capstone/env/images/5/5c/방울이득식3.png' @ warning/png.c/MagickPNGWarningHandler/1672. convert: Invalid IHDR data `/var/www/capstone/env/images/5/5c/방울이득식3.png' @ error/png.c/MagickPNGErrorHandler/1646. convert: corrupt image `/var/www/capstone/env/images/5/5c/방울이득식3.png' @ error/png.c/ReadPNGImage/4095. convert: no images defined `/tmp/transform_ccba7ab7cde8.png' @ error/convert.c/ConvertImageCommand/3210. Error code: 1 |
21 KB | 25env01 | 1 | |
| 2025년 12월 22일 (월) 05:49 | 방울이득식2.png (파일) | 섬네일을 만드는 중 오류 발생: convert: Image width exceeds user limit in IHDR `/var/www/capstone/env/images/4/43/방울이득식2.png' @ warning/png.c/MagickPNGWarningHandler/1672. convert: Image height exceeds user limit in IHDR `/var/www/capstone/env/images/4/43/방울이득식2.png' @ warning/png.c/MagickPNGWarningHandler/1672. convert: Invalid IHDR data `/var/www/capstone/env/images/4/43/방울이득식2.png' @ error/png.c/MagickPNGErrorHandler/1646. convert: corrupt image `/var/www/capstone/env/images/4/43/방울이득식2.png' @ error/png.c/ReadPNGImage/4095. convert: no images defined `/tmp/transform_79ad7f4bd213.png' @ error/convert.c/ConvertImageCommand/3210. Error code: 1 |
16 KB | 25env01 | 1 | |
| 2025년 12월 22일 (월) 05:49 | 방울이득식1.png (파일) | 섬네일을 만드는 중 오류 발생: convert: Image width exceeds user limit in IHDR `/var/www/capstone/env/images/d/d9/방울이득식1.png' @ warning/png.c/MagickPNGWarningHandler/1672. convert: Image height exceeds user limit in IHDR `/var/www/capstone/env/images/d/d9/방울이득식1.png' @ warning/png.c/MagickPNGWarningHandler/1672. convert: Invalid IHDR data `/var/www/capstone/env/images/d/d9/방울이득식1.png' @ error/png.c/MagickPNGErrorHandler/1646. convert: corrupt image `/var/www/capstone/env/images/d/d9/방울이득식1.png' @ error/png.c/ReadPNGImage/4095. convert: no images defined `/tmp/transform_7980ae327862.png' @ error/convert.c/ConvertImageCommand/3210. Error code: 1 |
16 KB | 25env01 | 1 | |
| 2025년 12월 22일 (월) 05:41 | 방울이득활성탄필터.png (파일) | 섬네일을 만드는 중 오류 발생: convert: Image width exceeds user limit in IHDR `/var/www/capstone/env/images/e/e8/방울이득활성탄필터.png' @ warning/png.c/MagickPNGWarningHandler/1672. convert: Image height exceeds user limit in IHDR `/var/www/capstone/env/images/e/e8/방울이득활성탄필터.png' @ warning/png.c/MagickPNGWarningHandler/1672. convert: Invalid IHDR data `/var/www/capstone/env/images/e/e8/방울이득활성탄필터.png' @ error/png.c/MagickPNGErrorHandler/1646. convert: corrupt image `/var/www/capstone/env/images/e/e8/방울이득활성탄필터.png' @ error/png.c/ReadPNGImage/4095. convert: no images defined `/tmp/transform_1bab6f5c8cbf.png' @ error/convert.c/ConvertImageCommand/3210. Error code: 1 |
121 KB | 25env01 | 1 | |
| 2025년 12월 22일 (월) 05:40 | 방울이득태양광패널.png (파일) | 섬네일을 만드는 중 오류 발생: convert: Image width exceeds user limit in IHDR `/var/www/capstone/env/images/5/5d/방울이득태양광패널.png' @ warning/png.c/MagickPNGWarningHandler/1672. convert: Image height exceeds user limit in IHDR `/var/www/capstone/env/images/5/5d/방울이득태양광패널.png' @ warning/png.c/MagickPNGWarningHandler/1672. convert: Invalid IHDR data `/var/www/capstone/env/images/5/5d/방울이득태양광패널.png' @ error/png.c/MagickPNGErrorHandler/1646. convert: corrupt image `/var/www/capstone/env/images/5/5d/방울이득태양광패널.png' @ error/png.c/ReadPNGImage/4095. convert: no images defined `/tmp/transform_6277d81b8e55.png' @ error/convert.c/ConvertImageCommand/3210. Error code: 1 |
268 KB | 25env01 | 1 | |
| 2025년 12월 22일 (월) 05:40 | 방울이득노즐.png (파일) | 섬네일을 만드는 중 오류 발생: convert: Image width exceeds user limit in IHDR `/var/www/capstone/env/images/7/7b/방울이득노즐.png' @ warning/png.c/MagickPNGWarningHandler/1672. convert: Image height exceeds user limit in IHDR `/var/www/capstone/env/images/7/7b/방울이득노즐.png' @ warning/png.c/MagickPNGWarningHandler/1672. convert: Invalid IHDR data `/var/www/capstone/env/images/7/7b/방울이득노즐.png' @ error/png.c/MagickPNGErrorHandler/1646. convert: corrupt image `/var/www/capstone/env/images/7/7b/방울이득노즐.png' @ error/png.c/ReadPNGImage/4095. convert: no images defined `/tmp/transform_cdc296d8910c.png' @ error/convert.c/ConvertImageCommand/3210. Error code: 1 |
78 KB | 25env01 | 1 | |
| 2025년 12월 22일 (월) 05:40 | 방울이득펌프양정.png (파일) | 섬네일을 만드는 중 오류 발생: convert: Image width exceeds user limit in IHDR `/var/www/capstone/env/images/9/9a/방울이득펌프양정.png' @ warning/png.c/MagickPNGWarningHandler/1672. convert: Image height exceeds user limit in IHDR `/var/www/capstone/env/images/9/9a/방울이득펌프양정.png' @ warning/png.c/MagickPNGWarningHandler/1672. convert: Invalid IHDR data `/var/www/capstone/env/images/9/9a/방울이득펌프양정.png' @ error/png.c/MagickPNGErrorHandler/1646. convert: corrupt image `/var/www/capstone/env/images/9/9a/방울이득펌프양정.png' @ error/png.c/ReadPNGImage/4095. convert: no images defined `/tmp/transform_ead33c323287.png' @ error/convert.c/ConvertImageCommand/3210. Error code: 1 |
278 KB | 25env01 | 1 |
처음 문서 |
이전 문서 |
다음 문서 |
마지막 문서 |